Aktiviti Kelab Doktor Muda Sekolah Rendah : Dilaksanakan untuk meningkatkan pengetahuan dan membina kemahiran doktor muda bagi membolehkan aktiviti kelab doktor muda dilaksanakan.

Aktiviti Kelab Doktor Muda Sekolah Rendah : Dilaksanakan untuk meningkatkan pengetahuan dan membina kemahiran doktor muda bagi membolehkan aktiviti kelab doktor muda dilaksanakan.. Download penubuhan kelab doktor muda. Bertepatan dengan konsep 3k (keselamatan, kesihatan dan keceriaan). Kelab doktor muda merupakan salah satu aktiviti kokurikulum di sekolah rendah. Pada 4 mei 2011 yang lalu, kelab doktor muda telah menyertai konvensyen kelab doktor muda peringkat daerah di sjk (t) vageesar. Amir atas sokongan dari segi kewangan maupun sokongan moral.

Membantu mewujudkan persekitaran sekolah yang bersih, sihat dan selamat. Persatuan doktor muda sk kempadang. Membimbing ke arah cara hidup sihat. Semua maklumat asas kesihatan tersebut akan disampaikan melalui modul yang terancang merangkumi kefahaman. Sesi lawatan ini merupakan sebahagian daripada aktiviti ahli kelab doktor muda.

Board Maklumat Kelab Doktor Muda
Board Maklumat Kelab Doktor Muda from 2.bp.blogspot.com
Persatuan doktor muda sk kempadang. Memastikan setiap program yang dirancang dan dilaksanakan, mencapai tahap cemerlang pada setiap masa dari segi ilmu pengetahuan kesihatan. Juara pertandingan video kreatif kdm sekolah rendah negeri selangor 2020, covid19, sk taman putra perdana sepang , muhammad faaris salihin b. Perancangan tahunan unit disiplin dan pengawas sekolah 2016. Kelab doktor muda sek keb pasir panjang, negeri sembilan. Kelab doktor muda adalah sebuah kelab yang mementingkan kebersihan dan kesihatan.kelab doktor muda merupakan salah satu aktiviti kokurikulum di sekolah rendah. Senyuman manissepanjang hayat jika gigi sihat 14. Program doktor muda mula dilaksanakan pada tahun 1989 di sekolah kebangsaan sri biram, pekan, pahang.

4 kelab doktor muda latar belakang kelab doktor muda ialah satu program mempromosikan aspek kesihatan secara menyeluruh kepada murid sekolah rendah.

Doktor muda cemerlang generasi terbilang. Bertepatan dengan konsep 3k (keselamatan, kesihatan dan keceriaan). Terima kasih atas sokongan pk kokurikulum en hermes e. Kelab doktor muda brains apa itu kdm. 7 penerangan tentang peranan dan aktiviti doktor muda tayangan videosaya doktor muda panduan mengisi buku catatan aktiviti dan buku laporan. Juara pertandingan video kreatif kdm sekolah rendah negeri selangor 2020, covid19, sk taman putra perdana sepang , muhammad faaris salihin b. Bahan slaid ini telah ditunjukkan kepada ahli kelab doktor muda semasa aktiviti kokurikulum dijalankan pada 20/06/2012 yang baru lalu. Objektif penubuhan kelab dotor muda skp methodist 1. Sesi lawatan ini merupakan sebahagian daripada aktiviti ahli kelab doktor muda. Pada mei 2006, kementerian pelajaran malaysia telah menerima program ini sebagai salah satu aktiviti kokurikulum di sekolah rendah dengan nama kelab doktor muda. Kelab doktor muda merupakan salah satu aktiviti kokurikulum di sekolah rendah. Posted by kelab doktor muda at 13:03 0 comments. Perlantikan ajk kelab doktor muda 20132.

Kelab doktor muda adalah sebuah kelab yang mementingkan kebersihan dan kesihatan.kelab doktor muda merupakan salah satu aktiviti kokurikulum di sekolah rendah. Download penubuhan kelab doktor muda. Pada mei 2006, kementerian pelajaran malaysia telah menerima program ini sebagai salah satu aktiviti kokurikulum di sekolah rendah dengan nama kelab doktor muda. Semua maklumat asas kesihatan tersebut akan disampaikan melalui modul yang terancang merangkumi kefahaman. Kelab doktor muda merupakan salah satu aktiviti kokurikulum di sekolah rendah.

Laporan Kelab Doktor Muda 2012 Cute766
Laporan Kelab Doktor Muda 2012 Cute766 from i0.wp.com
Kelab doktor muda berlandaskan kepada konsep dan strategi program bersepadu sekolah sihat (pbss). Bertepatan dengan konsep 3k (keselamatan, kesihatan dan keceriaan). Kelab doktor muda terus maju. Juara pertandingan video kreatif kdm sekolah rendah negeri selangor 2020, covid19, sk taman putra perdana sepang , muhammad faaris salihin b. Posted by kelab doktor muda at 13:03 0 comments. Membimbing ke arah cara hidup sihat. Bahan slaid ini telah ditunjukkan kepada ahli kelab doktor muda semasa aktiviti kokurikulum dijalankan pada 20/06/2012 yang baru lalu. Pada awal penubuhan, kelab doktor muda telah disertai oleh 35 orang ahli doktor muda.

Persatuan doktor muda sk kempadang.

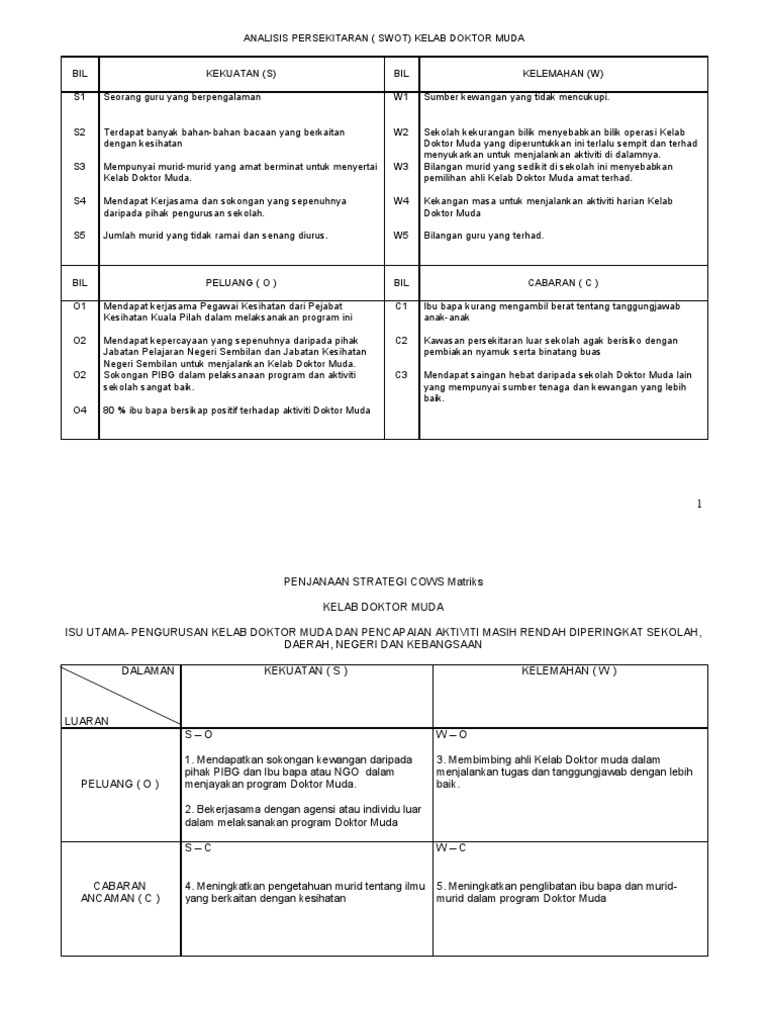
Pada mei 2006, kementerian pelajaran malaysia telah menjadikan program doktor muda sebagai salah satu aktiviti kokurikulum di sekolah rendah dan dikenali sebagai kelab doktor muda. Objektif penubuhan kelab dotor muda skp methodist 1. Analisis swot kelab doktor muda kekuatan ( strenght s ! Cikgu rohani m u aktiviti doktor muda. Permainan interaktif ( dam sihat ). Menyampaikan maklumat kesihatan kepada rakan sebaya. Sesi lawatan ini merupakan sebahagian daripada aktiviti ahli kelab doktor muda. Membantu mewujudkan persekitaran sekolah yang bersih, sihat dan selamat. Bahan slaid ini telah ditunjukkan kepada ahli kelab doktor muda semasa aktiviti kokurikulum dijalankan pada 20/06/2012 yang baru lalu. Bertepatan dengan konsep 3k (keselamatan, kesihatan dan keceriaan). Kelab doktor muda adalah sebuah kelab yang mementingkan kebersihan dan kesihatan.kelab doktor muda merupakan salah satu aktiviti kokurikulum di sekolah rendah. Pelaksanaan program ini adalah hasil usaha sama antara kementeriaan pelajaran malaysia dan kementeriaan kesihatan. 4 kelab doktor muda latar belakang kelab doktor muda ialah satu program mempromosikan aspek kesihatan secara menyeluruh kepada murid sekolah rendah.

Terima kasih kerana sudiberkongsi senyuman bersama doktor muda. Kelab doktor muda sekolah rendah. Menyampaikan maklumat kesihatan kepada rakan sebaya. Kdm ialah singkatan bagi kelab doktor muda. Doktor muda cemerlang generasi terbilang.

Kelab Doktor Muda
Kelab Doktor Muda from reader021.docslide.net
Dilaksanakan untuk meningkatkan pengetahuan dan membina kemahiran doktor muda bagi membolehkan aktiviti kelab doktor muda dilaksanakan. Doktor muda cemerlang generasi terbilang. Bertepatan dengan konsep 3k (keselamatan, kesihatan dan keceriaan). Juara pertandingan video kreatif kdm sekolah rendah negeri selangor 2020, covid19, sk taman putra perdana sepang , muhammad faaris salihin b. Pada 4 mei 2011 yang lalu, kelab doktor muda telah menyertai konvensyen kelab doktor muda peringkat daerah di sjk (t) vageesar. Kdm ialah singkatan bagi kelab doktor muda. Kelab doktor muda merupakan salah satu aktiviti kokurikulum di sekolah rendah. Analisis swot kelab doktor muda kekuatan ( strenght s !

Posted by kelab doktor muda at 13:03 0 comments.

Kelab doktor muda merupakan salah satu aktiviti kokurikulum di sekolah rendah. Objektif penubuhan kelab dotor muda skp methodist 1. Posted by kelab doktor muda at 13:03 0 comments. Dilaksanakan untuk meningkatkan pengetahuan dan membina kemahiran doktor muda bagi membolehkan aktiviti kelab doktor muda dilaksanakan. Kelab doktor muda merupakan salah satu aktiviti kokurikulum di sekolah rendah. Antara aktiviti kelab doktor muda ialah mengawasi penyediaan makanan oleh unit uniform semasa perjumpaan unit uniform. Perancangan tahunan unit disiplin dan pengawas sekolah 2016. Cikgu rohani m u aktiviti doktor muda. Kelab doktor muda sekolah menengah merupakan kesinambungan kelab doktor muda yang telah dilaksanakan di sekolah rendah sejak tahun 1989. Latar belakang doktor muda doktor muda merupakan pelajar sekolah tahun 4, 5 dan 6 yang terpilih dan terlatih sebagai pembimbing rakan pameran kelab doktor muda daerah besut 2013 di sk pasir akar. Menyampaikan maklumat kesihatan kepada rakan sebaya. Senyuman manissepanjang hayat jika gigi sihat 14. Program ini telah dilaksanakan di sekolah rendah dan baru sahaja dilaksanakan di perigkat sekolah menengah.matlamatnya adalah untuk melahirkan murid yang berkemahiran berasaskan pelaksanaan aktiviti berkonsepkan dari murid, kepada murid.

Related : Aktiviti Kelab Doktor Muda Sekolah Rendah : Dilaksanakan untuk meningkatkan pengetahuan dan membina kemahiran doktor muda bagi membolehkan aktiviti kelab doktor muda dilaksanakan..